晕动病(Motion Sickness,MS)的评估长期依赖主观量表,存在个体差异大、一致性不足的局限性。第四军事医科大学与延安大学联合研究团队在国际期刊《Frontiers in Neurology》上发表的一项创新性研究,首次将三恩时TS7600分光测色仪应用于晕动病严重程度的客观量化评估中,为该领域提供了新的技术路径和研究思路。

TS7600分光测色仪采用CIE-L*a*b*国际标准颜色系统,通过测量皮肤表面的L*值(明度)和a*值(红绿度),将人眼主观感知的“脸色苍白”这一晕动病典型体征转化为精确的数字指标。
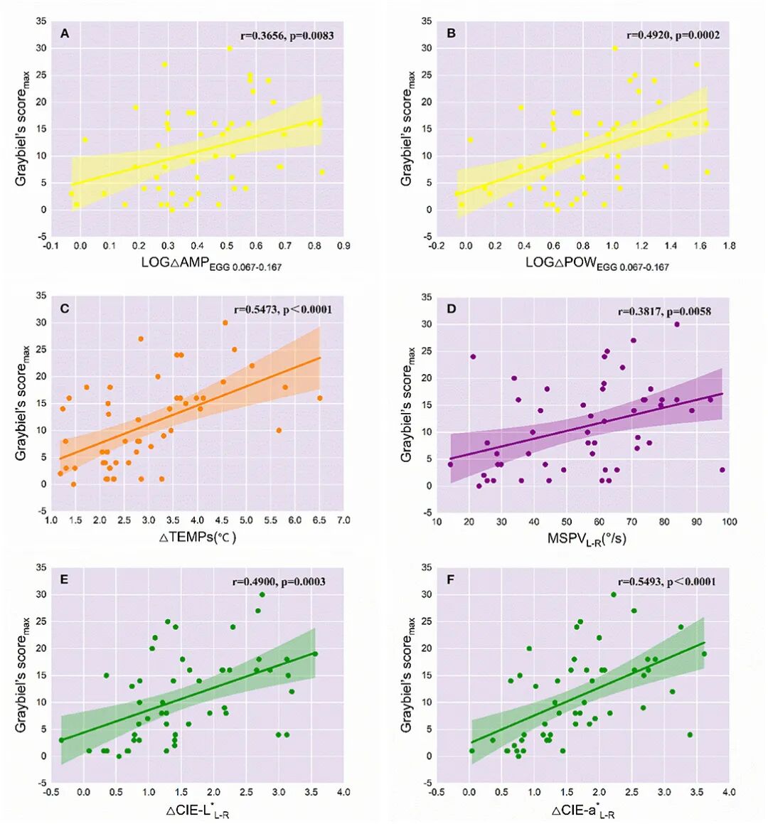
研究显示,当晕动病发作时,参与者脸颊皮肤的L*值显著上升(代表肤色亮度增加、更显苍白),a*值明显下降(反映红色成分减少),这些客观数据与晕动病严重程度呈现显著相关性。
该仪器采用D/8积分球光学结构,支持SCI(包含镜面反射光)和SCE(排除镜面反射光)两种测量模式,能够准确捕捉皮肤表面的真实颜色特征,有效避免了人眼观察因光线、个体差异等因素带来的误差。

TS7600具备的高精度测量能力(重复性精度ΔE≤0.03,台间差ΔE≤0.15)确保了数据的准确性和可重复性。
在研究过程中,仪器以每秒10nm波长间隔采集400-700nm光谱范围内的反射率数据,为研究提供了可靠的肤色变化信息。
这些高精度数据与胃电活动、皮肤温度、眼震等其他生理参数共同构成机器学习模型的数据特征,最终构建的晕动病易感性评估模型准确率达到88.24%,显著提升了评估的客观性和准确性。

TS7600的便携式设计(尺寸129×76×217mm,重量约600g)使其不仅适用于实验室环境,更可扩展至驾驶舱、船舱等实际场景中进行现场数据采集。
仪器配备的锂电池可支持8小时内6000次测量,满足了长时间、多点的现场检测需求。
这种便携特性为晕动病的现场快速筛查创造了条件,对飞行员、宇航员等高危职业人员的选拔和健康监测具有重要价值。研究表明,基于TS7600的客观数据,可针对特殊职业开发晕动病易感性筛查标准,辅助人员选拔与岗位分配。

该研究的创新之处在于首次将工业级的颜色测量技术应用于晕动病的客观评估。通过将“脸色苍白”这一主观症状转化为可量化的L*、a*值,建立了晕动病严重程度与客观数据之间的对应关系。
这种客观化的评估方法不仅推动了晕动病研究从主观描述向定量分析的转变,也为其他需要客观量化体表特征变化的医学研究提供了新思路。随着技术的进一步发展,这种基于精密测量的客观评估方法有望在更广泛的医学领域发挥作用。
三恩时TS7600分光测色仪在晕动病研究中的成功应用,展现了精密测量仪器在医学研究中的重要价值,为客观评估生理状态提供了创新性的解决方案


客服一